- 磷元素与身体健康
- 磷在生物圈内的分布很广泛,地壳含量前十位,在海水中浓度属第二类。广泛存在于动、植物组织中,也是人体含量较多的元素之一,稍次于钙排列为第六位。磷存在于人体所有细胞中,约占人体重的1%,是维持骨骼和牙齿的必要物质,几乎参与所有生理上的化学反应。成人体内约含有600-900g的磷,体内磷的85.7%集中于骨和牙,其余分散在全身各组织及体液中,其中一半存在于肌肉组织。它不但构成人体成分,且参与生命活动中非常重要的代谢过程,是机体很重要的一种元素。

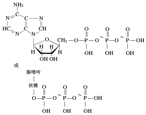
- 人体中的磷:磷是人体遗传物质核酸的重要组分,也是人类能量转换的关键物质三磷酸腺苷(ATP)的重要成分,磷还是多种酶的组分,生物膜磷脂的组分,是构成骨骼、牙齿的重要成分,对人体生命活动有十分重要的作用。磷还是使心脏有规律地跳动、维持肾脏正常机能和传达神经刺激的重要物质。没有磷时,烟酸(又称为维生素B3)不能被吸收;磷的正常机能需要维生素(维生素食品) D 和钙(钙食品)来维持。

- 血浆中的磷:在一般人体所具有的2.5升左右的血浆中,含磷约75~100毫克,含钙250毫克。正常情况下,每人每昼夜从尿中排出磷达1000毫克,钙与磷之间的比例对食物的消化、吸收都有重要意义,当食物中钙磷之比为1:2至2:1时,最适宜于钙与磷的吸收。磷参与调节酸、碱平衡,帮助葡萄糖、蛋白质、脂肪的代谢。
- 成人每天自食物中需摄取钙0.66克,磷0.74克,幼儿在发育期,每天需钙、磷各1克以上,钙与磷的吸收是否良好,直接影响骨的钙化。维生素D能促进钙和磷的吸收。
一个60kg体重正常人,含磷总量约为600g,其中85%(约520g)分布在骨骼和牙齿,其余15%分布在软组织和体液中,不同软组织磷的含量也不相同。脑组织含磷量较高,可高达4.4g/kg,肌肉组织含磷量为每千克1.0g,各软组织平均含磷为2.0g/kg。软组织中的磷主要以有机磷、磷脂和核酸的形式存在。骨组织中所含的磷主要以无机磷的形式存在,即与钙构成骨盐成分。血浆(清)中既含有有机磷,又含无机磷,两者的比例约为2:1。骨形成时储留2克钙需要1克磷,在形成有机磷时,每储留17g氮需要1g磷。
- 1.构成骨骼和牙齿
- 与钙作用相同,构成机体支架和承担负重作用。

- 2.组成生命的重要物质
- 磷是机体极为重要的元素之一,因为它是所有细胞中的核糖核酸、脱氧核糖核酸的构成元素之一,对生物体的遗传代谢、生长发育、能量供应等方面都是不可缺少的。磷也是生物体所有细胞的必需元素,是维持细胞膜的完整性、发挥细胞机能所必需的。磷脂是细胞膜上的主要脂类组成成分,与膜的通透性有关。它促进脂肪和脂肪酸的分解,预防血中聚集太多的酸或碱,磷的功能也影响血浆及细胞中的酸碱平衡,促进物质吸收,刺激激素的分泌,有益于神经和精神活动。磷能刺激神经肌肉,使心脏和肌肉有规律的收缩。磷帮助细胞分裂、增殖及蛋白的合成,将遗传特征从上一代传至下一代。磷离子对于碳水化合物、脂类和蛋白质的代谢是必需的,它作为辅助因子作用于广大的酶体系,也存在于高能磷酸化合物中。如有机磷酸盐、ATP、磷酸肌酸等具有储存和转移能量的作用。在骨的发育与成熟过程中,钙和磷的平衡有助于无机盐的利用。磷酸盐能调节维生素D的代谢,维持钙的内环境稳定。
- 人体每日摄入的磷约1-1.5g。磷的吸收部位在小肠,其中以十二指肠及空肠部位吸收最快,回肠较差。磷的吸收分为通过载体需能的主动吸收和扩散被动吸收两种机制。磷的代谢过程与钙相似,体内的磷平衡取决于体内和体外环境之间磷的交换。磷的主要排泄途径是经肾脏。未经肠道吸收的磷从粪便排出,这部分平均约占机体每日摄磷量的30%,其余70%经由肾以可溶性磷酸盐形式排出,少量也可由汗液排出。影响磷吸收的因素大致与钙相似。酸性增加有利用磷的吸收。吸收形式主要为酸性磷酸盐(BH2PO4),吸收率可达70%.Ca2+、Mg2+、Al3+和Fe3+可与磷酸根结合成不溶性盐,故食物中钙过多会影响磷吸收,严重肾病患者血鳞过高时,常服用Al(OH)3乳胶以减少磷的吸收。
- 磷由肾及肠道排泄,肾排出量占总排出量的70%,肾排出磷也受甲状旁腺激素和维生素D的调节。肾功能不良导致磷排出减少时使血鳞增高。
- 关于血鳞,通常指血浆中无机磷酸盐中的磷,正常成人血浆中无机磷含量为0、96-1.44mmol/L(3.0-4.5mg/dL),儿童为1.28-2.24mmol/L(4.0-7.0mg/dL)。
- 磷是机体极为重要的元素之一,因为它是所有细胞中的核糖核酸、脱氧核糖核酸的构成元素之一,对生物体的遗传代谢、生长发育、能量供应等方面都是不可缺少的。磷也是生物体所有细胞的必需元素,是维持细胞膜的完整性、发挥细胞机能所必需的。磷脂是细胞膜上的主要脂类组成成分,与膜的通透性有关。它促进脂肪和脂肪酸的分解,预防血中聚集太多的酸或碱,磷的功能也影响血浆及细胞中的酸碱平衡,促进物质吸收,刺激激素的分泌,有益于神经和精神活动。磷能刺激神经肌肉,使心脏和肌肉有规律的收缩。磷帮助细胞分裂、增殖及蛋白的合成,将遗传特征从上一代传至下一代。磷离子对于碳水化合物、脂类和蛋白质的代谢是必需的,它作为辅助因子作用于广大的酶体系,也存在于高能磷酸化合物中。如有机磷酸盐、ATP、磷酸肌酸等具有储存和转移能量的作用。在骨的发育与成熟过程中,钙和磷的平衡有助于无机盐的利用。磷酸盐能调节维生素D的代谢,维持钙的内环境稳定。
- 磷的需求量是指维持机体适宜营养与健康状况的生理需求量,过去因为食物中含磷普遍而丰富,很少因为膳食原因引起营养性磷缺乏,所以很少研究磷的需要量。更缺乏用于评价磷缺乏的指标,而是与钙的需要量相联系,主要考虑钙磷比值。现在则认为,血中无机磷的水平是确定磷估计平均需要量的重要指标。中国营养学会制订的各类人群的推荐参考摄入量如下:
- 婴儿:主要是更具由母乳摄入磷平均量的推算,半岁以前婴儿的适宜摄入量(AI)订为150毫克/天。半岁以后,因为磷的摄入随辅食而增加,故订为300毫克/天。
- 儿童:主要根据机体骨骼骨磷、软组织中磷的增长速率以及磷的吸收与排泄效率,采用“要因加算法”制订的。1岁以上儿童磷适宜摄人量为450毫克/天,4岁以上儿童磷适宜摄人量为500毫克/天,7岁以上儿童磷适宜摄人量为700毫克/天。
- 青春发育期:同样采用“要因加算法”制订,11岁以上的青少年磷适宜摄人量均订为1000毫克/天。
- 成年人:因成人血中无机磷水平与磷摄人量之间关系明确而肯定,所以依此推算,制订成人磷适宜摄人量为700毫克/天。
- 老年人:因年龄增长,磷的吸收率与排泄率未见有改变,所以老年人磷适宜摄人量与成年人一样订为700毫克/天。
- 孕妇:由于妊娠期间磷吸收率提高,无需额外增加磷摄人量即可满足胎儿生长需要,所以孕妇的磷适宜摄人量仍订为 700毫克/天。
- 乳母:因为没有证据表明哺乳期间磷需要量增加,所以乳母的磷适宜摄入量订为700毫克/天。
- 含磷丰富的食物
磷在食物中分布很广,无论动物性食物或食物性食物,在其细胞中,都含有丰富的磷,动物的乳汁中也含有磷,所以磷是与蛋白质并存的,瘦肉、蛋、奶、动物的肝、肾含量都很高,海带、紫菜、芝麻酱、花生、干豆类、坚果粗粮含磷也较丰富。但粮谷中的磷为植酸磷,不经过加工处理,吸收利用率低。
- 在规定磷摄入量的同时,如果体内磷含量过多,也会对身体产生危害。但一般来说,不易发生由膳食摄人过量磷的问题,只在某些特殊情况下出现,如临床使用过量磷制剂时,主要危害是引起高磷血症,表现为影响钙的吸收、利用,对骨骼产生不良作用,但体内足量的钙,可有效防止高磷的不利影响。
- 中国营养学会提出的磷的可耐受最高摄人量(UL)为:儿童、孕妇,3000毫克/天;青少年、成年、老年、乳母,3500毫克/天。
- 据2002年《中国居民营养与健康调查报告》,我国城乡居民平均每人每天磷摄入量为978.8毫克,高于适宜摄人量,这与我国以植物性食物为主的膳食结构有关。
- 缺磷会引起骨骼,牙齿发育不正常,骨质疏松,软骨病,食欲不振等症状。
- 几乎所有的食物都含磷,因此人类缺磷是极为少见的。磷的摄入量一般总是高于钙的摄入量,在多数情况下是完全足够的。但如有下列情况则可造成缺磷:
- (1)过量摄入不能被吸收的抗酸药物,如铝、钙、镁制剂等,可影响磷的吸收;
- 喂牛奶的婴儿;
- (3)素食者常食产自缺磷土壤的高纤维膳食
- 与磷有关的缺乏症还包括佝偻病,这是一种小儿病,是因缺少磷、钙或维生素D,或钙磷比例失调而引起的。

- 骨软化是成人的佝偻病,是长期缺少磷、钙或维生素D,或钙磷比例失调而引起的。 当然,人体过量的摄入磷也会对机体造成损害。如骨质疏松易碎、牙齿蛀蚀。由于人体中钙和磷联系紧密,各种钙缺乏症状日益明显、精神不振甚至崩溃,破坏其他矿物质平衡。
- 目录
Phosphorus
- 介绍
- 历史发展
- 资源分布
- 物化性质
- 生产工艺
- 应用
- 健康
- 行业标准
- 名企
- 推荐
- |
- |
- |
- |
- |
- |
- |
- |
- |
- |
- |
- 涨 • 知识
| 1 | 2 | 3 | 4 | 5 | 6 | 7 | 8 | 9 | 10 | 11 | 12 | 13 | 14 | 15 | 16 | 17 | 18 | ||||||||||||||
|---|---|---|---|---|---|---|---|---|---|---|---|---|---|---|---|---|---|---|---|---|---|---|---|---|---|---|---|---|---|---|---|
1 氢 |
2 氦 |
||||||||||||||||||||||||||||||
3 |
4 铍 |
5 硼 |
6 碳 |
7 氮 |
8 氧 |
9 氟 |
10 氖 |
||||||||||||||||||||||||
11 钠 |
12 |
13 |
14 |
15 磷 |
16 硫 |
17 氯 |
18 氩 |
||||||||||||||||||||||||
19 钾 |
20 |
21 |
22 |
23 |
24 |
25 |
26 铁 |
27 |
28 |
29 |
30 |
31 |
32 |
33 |
34 |
35 溴 |
36 氪 |
||||||||||||||
37 铷 |
38 |
39 |
40 |
41 |
42 |
43 锝 |
44 钌 |
45 铑 |
46 钯 |
47 银 |
48 |
49 |
50 |
51 |
52 |
53 碘 |
54 氙 |
||||||||||||||
55 铯 |
56 钡 |
57 |
58 |
59 |
60 |
61 |
62 |
63 |
64 |
65 |
66 |
67 |
68 |
69 |
70 |
71 |
72 铪 |
73 |
74 |
75 |
76 锇 |
77 铱 |
78 铂 |
79 金 |
80 |
81 铊 |
82 |
83 |
84 钋 |
85 砹 |
86 氡 |
87 钫 |
88 镭 |
89 锕 |
90 钍 |
91 镤 |
92 铀 |
93 镎 |
94 钚 |
95 镅 |
96 锔 |
97 锫 |
98 锎 |
99 锿 |
100 镄 |
101 钔 |
102 锘 |
103 铹 |
104 鑪 |
105 Db |
106 Sg |
107 Bh |
108 Hs |
109 Mt |
110 鐽 |
111 錀 |
112 Cn |
113 Uut |
114 Fl |
115 Uup |
116 Lv |
117 Uus |
118 Uuo |




